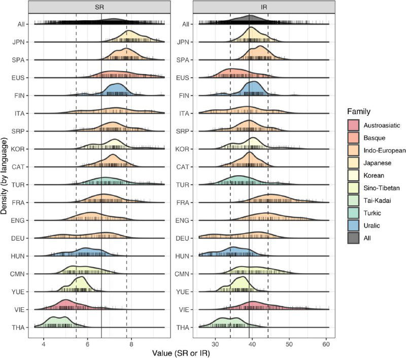
На диаграмме слева — нормальное распределение показателей скорости речи (speech rate) в слогах в секунду. Справа — распределение информативности речи (information rate) в битах в секунду. Цветами обозначены различные языковые семьи
Другие интересные данные про языки:




Дискуссия